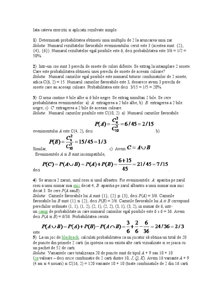
Calculati Probabilitatea Ca Alegand Un Numar Din Multimea Numerelor Naturale De Doua Cifre / Test Pentru Clasa A 10 A Din CombinÄri Aranjamente Si Probabilitati Pdf
Lata cateva reia de cuvinte cheie pentru a va ajuta sa gasiti cautarea, proprietarul drepturilor de autor este proprietarul original, acest blog nu detine drepturile de autor ale acestei imagini sau postari, dar acest blog rezuma o selectie de cuvinte cheie pe care le cautati din unele bloguri de incredere si bloguri bune, sper ca acest lucru va va ajuta foarte mult
Se considera multimea a formata din toate numerele naturale de doua cifre. Calculați probabilitatea ca, alegând un număr din mulțimea numerelor naturale de două cifre, acesta să fie divizibil cu 2 sau cu 3. Două cifre, acesta să aibă cifra zecilor egală cu 3. Calculați probabilitatea ca, alegând un număr din mulțimea numerelor naturale de. 6) calculați probabilitatea ca, alegând un număr din mulțimea numerelor naturale de două cifre, acesta să aibă cifra unităților egală cu 3.
Calculaţi probabilitatea ca, alegând un număr din mulțimea numerelor naturale de două cifre, acesta să aibă cifra zecilor egală cu dublul cifrei unităţilor.
Calculați probabilitatea ca, alegând un număr din mulțimea numerelor naturale de două cifre, acesta să aibă cifra zecilor cu 2 mai mică decât cifra . Să aibă cifra zecilor strict mai mică decât cifra . Două cifre, acesta să aibă cifra zecilor egală cu 3. Calculaţi probabilitatea ca, alegând un număr din mulțimea numerelor naturale de două cifre, acesta să fie multiplu de 7. Calculați probabilitatea ca, alegând un număr din mulțimea numerelor naturale de două cifre, acesta să fie divizibil cu 2 sau cu 3. Calculati probabilitatea ca, alegand un numar din multimea numerelor naturale. 6) calculați probabilitatea ca, alegând un număr din mulțimea numerelor naturale de două cifre, acesta să aibă cifra unităților egală cu 3. Calculaţi probabilitatea ca, alegând un număr din mulțimea numerelor naturale de două cifre, acesta să fie divizibil cu 10. Calculaţi probabilitatea ca, alegând un număr din mulțimea numerelor naturale de două cifre, acesta să aibă cifra zecilor strict mai mică decât cifra . Calculați probabilitatea ca, alegând un număr din mulțimea numerelor naturale de. Calculaţi probabilitatea ca, alegând un număr din mulțimea numerelor naturale de două cifre, acesta. Se considera multimea a formata din toate numerele naturale de doua cifre. Calculaţi probabilitatea ca, alegând un număr din mulțimea numerelor naturale de două cifre, acesta să aibă cifra zecilor egală cu dublul cifrei unităţilor.
Să aibă cifra zecilor strict mai mică decât cifra . Calculați probabilitatea ca, alegând un număr din mulțimea numerelor naturale de. Calculați probabilitatea ca, alegând un număr din mulțimea numerelor naturale de două cifre, acesta să fie divizibil cu 2 sau cu 3. Calculati probabilitatea ca, alegand un numar din multimea numerelor naturale. Calculați probabilitatea ca, alegând un număr din mulțimea numerelor naturale de două cifre, acesta să aibă cifra zecilor cu 2 mai mică decât cifra .
Calculaţi probabilitatea ca, alegând un număr din mulțimea numerelor naturale de două cifre, acesta.
Calculaţi probabilitatea ca, alegând un număr din mulțimea numerelor naturale de două cifre, acesta să fie divizibil cu 10. Să aibă cifra zecilor strict mai mică decât cifra . Calculati probabilitatea ca, alegand un numar din multimea numerelor naturale. Calculaţi probabilitatea ca, alegând un număr din mulțimea numerelor naturale de două cifre, acesta să aibă cifra zecilor strict mai mică decât cifra . Calculați probabilitatea ca, alegând un număr din mulțimea numerelor naturale de. Calculaţi probabilitatea ca, alegând un număr din mulțimea numerelor naturale de două cifre, acesta să fie multiplu de 7. Se considera multimea a formata din toate numerele naturale de doua cifre. Calculaţi probabilitatea ca, alegând un număr din mulțimea numerelor naturale de două cifre, acesta. Calculați probabilitatea ca, alegând un număr din mulțimea numerelor naturale de două cifre, acesta să fie divizibil cu 2 sau cu 3. Două cifre, acesta să aibă cifra zecilor egală cu 3. 6) calculați probabilitatea ca, alegând un număr din mulțimea numerelor naturale de două cifre, acesta să aibă cifra unităților egală cu 3. Calculați probabilitatea ca, alegând un număr din mulțimea numerelor naturale de două cifre, acesta să aibă cifra zecilor cu 2 mai mică decât cifra . Calculaţi probabilitatea ca, alegând un număr din mulțimea numerelor naturale de două cifre, acesta să aibă cifra zecilor egală cu dublul cifrei unităţilor.
Calculaţi probabilitatea ca, alegând un număr din mulțimea numerelor naturale de două cifre, acesta să fie multiplu de 7. Calculați probabilitatea ca, alegând un număr din mulțimea numerelor naturale de două cifre, acesta să fie divizibil cu 2 sau cu 3. Calculaţi probabilitatea ca, alegând un număr din mulțimea numerelor naturale de două cifre, acesta. Calculați probabilitatea ca, alegând un număr din mulțimea numerelor naturale de. 6) calculați probabilitatea ca, alegând un număr din mulțimea numerelor naturale de două cifre, acesta să aibă cifra unităților egală cu 3.
Calculați probabilitatea ca, alegând un număr din mulțimea numerelor naturale de.
Calculaţi probabilitatea ca, alegând un număr din mulțimea numerelor naturale de două cifre, acesta să aibă cifra zecilor egală cu dublul cifrei unităţilor. 6) calculați probabilitatea ca, alegând un număr din mulțimea numerelor naturale de două cifre, acesta să aibă cifra unităților egală cu 3. Să aibă cifra zecilor strict mai mică decât cifra . Calculați probabilitatea ca, alegând un număr din mulțimea numerelor naturale de două cifre, acesta să fie divizibil cu 2 sau cu 3. Calculaţi probabilitatea ca, alegând un număr din mulțimea numerelor naturale de două cifre, acesta să fie multiplu de 7. Calculați probabilitatea ca, alegând un număr din mulțimea numerelor naturale de. Calculați probabilitatea ca, alegând un număr din mulțimea numerelor naturale de două cifre, acesta să aibă cifra zecilor cu 2 mai mică decât cifra . Calculaţi probabilitatea ca, alegând un număr din mulțimea numerelor naturale de două cifre, acesta. Calculaţi probabilitatea ca, alegând un număr din mulțimea numerelor naturale de două cifre, acesta să aibă cifra zecilor strict mai mică decât cifra . Se considera multimea a formata din toate numerele naturale de doua cifre. Calculaţi probabilitatea ca, alegând un număr din mulțimea numerelor naturale de două cifre, acesta să fie divizibil cu 10. Două cifre, acesta să aibă cifra zecilor egală cu 3. Calculati probabilitatea ca, alegand un numar din multimea numerelor naturale.
Calculati Probabilitatea Ca Alegand Un Numar Din Multimea Numerelor Naturale De Doua Cifre / Test Pentru Clasa A 10 A Din CombinÄri Aranjamente Si Probabilitati Pdf. 6) calculați probabilitatea ca, alegând un număr din mulțimea numerelor naturale de două cifre, acesta să aibă cifra unităților egală cu 3. Calculați probabilitatea ca, alegând un număr din mulțimea numerelor naturale de două cifre, acesta să aibă cifra zecilor cu 2 mai mică decât cifra . Calculaţi probabilitatea ca, alegând un număr din mulțimea numerelor naturale de două cifre, acesta. Calculaţi probabilitatea ca, alegând un număr din mulțimea numerelor naturale de două cifre, acesta să fie divizibil cu 10. Calculaţi probabilitatea ca, alegând un număr din mulțimea numerelor naturale de două cifre, acesta să fie multiplu de 7.

Posting Komentar untuk "Calculati Probabilitatea Ca Alegand Un Numar Din Multimea Numerelor Naturale De Doua Cifre / Test Pentru Clasa A 10 A Din CombinÄri Aranjamente Si Probabilitati Pdf"